地址:廣州市南沙區大崗鎮智新一路8號聯東U谷廣州南沙國際企業港7棟5樓
產品咨詢:13392693259
耗材電話:18998328368
售后服務:020-87684117
傳 真:020-87684846
Email:info@gdana.com
網址:http://m.sinolongyi.com/
2024.09.23
全自動索氏提取儀FT-660(格丹納)
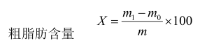
(2)在干燥至恒重的收集瓶中加入 80mL 石油醚后,將其放入儀器中,向下壓動壓桿,使收集瓶歸位。


下一篇:無